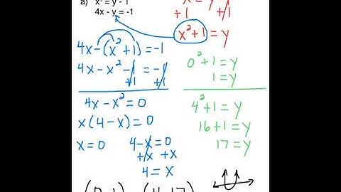
MATH 1113 Section 5.4 Systems of Nonlinear Equations in Two Variables

Tonton & Download Video Musik Gratis

⬇ DOWNLOAD NOW
Kalau muncul iklan pop-up, tutup lalu klik tombol kembali

Download lagu MATH 1113 Section 5.4 Systems of Nonlinear Equations in Two Variables secara gratis hanya untuk keperluan promosi. Dukung artis favorit kamu dengan membeli musik original di iTunes atau platform resmi lainnya.