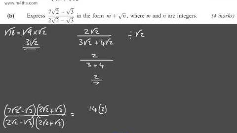
q4 AQA Core 1 C1 January 2013 quick answers AS maths A Level MPC1 past paper exam

Tonton & Download Video Musik Gratis

⬇ DOWNLOAD NOW
Kalau muncul iklan pop-up, tutup lalu klik tombol kembali

Download lagu q4 AQA Core 1 C1 January 2013 quick answers AS maths A Level MPC1 past paper exam secara gratis hanya untuk keperluan promosi. Dukung artis favorit kamu dengan membeli musik original di iTunes atau platform resmi lainnya.