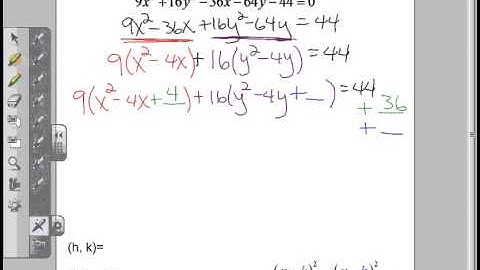
Algebra 2 Practice - Rewrite the Equation of an Ellipse in Standard Form by Completing the Square

Tonton & Download Video Musik Gratis

⬇ DOWNLOAD NOW
Kalau muncul iklan pop-up, tutup lalu klik tombol kembali

Download lagu Algebra 2 Practice - Rewrite the Equation of an Ellipse in Standard Form by Completing the Square secara gratis hanya untuk keperluan promosi. Dukung artis favorit kamu dengan membeli musik original di iTunes atau platform resmi lainnya.