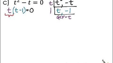
Alg1 Ch 9.4 Part 1: Solving Polynomials in Factored Form

Tonton & Download Video Musik Gratis

⬇ DOWNLOAD NOW
Kalau muncul iklan pop-up, tutup lalu klik tombol kembali

Download lagu Alg1 Ch 9.4 Part 1: Solving Polynomials in Factored Form secara gratis hanya untuk keperluan promosi. Dukung artis favorit kamu dengan membeli musik original di iTunes atau platform resmi lainnya.