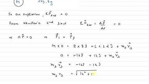
An explosion blows a rock into three parts . Two parts go of at right angles to each other . These t

Tonton & Download Video Musik Gratis

⬇ DOWNLOAD NOW
Kalau muncul iklan pop-up, tutup lalu klik tombol kembali

Download lagu An explosion blows a rock into three parts . Two parts go of at right angles to each other . These t secara gratis hanya untuk keperluan promosi. Dukung artis favorit kamu dengan membeli musik original di iTunes atau platform resmi lainnya.