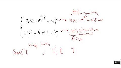
Resolución de ecuaciones no lineales y minimización de funciones con Matlab | | UPV

Tonton & Download Video Musik Gratis

⬇ DOWNLOAD NOW
Kalau muncul iklan pop-up, tutup lalu klik tombol kembali

Download lagu Resolución de ecuaciones no lineales y minimización de funciones con Matlab | | UPV secara gratis hanya untuk keperluan promosi. Dukung artis favorit kamu dengan membeli musik original di iTunes atau platform resmi lainnya.