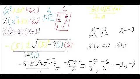
Solving a cubic equation | Cardon's Method | Useful for B.sc part -1 Students

Tonton & Download Video Musik Gratis

⬇ DOWNLOAD NOW
Kalau muncul iklan pop-up, tutup lalu klik tombol kembali

Download lagu Solving a cubic equation | Cardon's Method | Useful for B.sc part -1 Students secara gratis hanya untuk keperluan promosi. Dukung artis favorit kamu dengan membeli musik original di iTunes atau platform resmi lainnya.