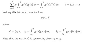
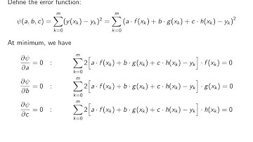
ch8 m. Matlab Examples on Least Squares Method. Wen Shen

Tonton & Download Video Musik Gratis

⬇ DOWNLOAD NOW
Kalau muncul iklan pop-up, tutup lalu klik tombol kembali

Download lagu ch8 m. Matlab Examples on Least Squares Method. Wen Shen secara gratis hanya untuk keperluan promosi. Dukung artis favorit kamu dengan membeli musik original di iTunes atau platform resmi lainnya.