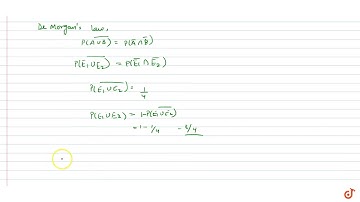
Of the three independent events E_1, E_2, and E_3, the probability that only E_1 occurs is α, onl...

Tonton & Download Video Musik Gratis

⬇ DOWNLOAD NOW
Kalau muncul iklan pop-up, tutup lalu klik tombol kembali

Download lagu Of the three independent events E_1, E_2, and E_3, the probability that only E_1 occurs is α, onl... secara gratis hanya untuk keperluan promosi. Dukung artis favorit kamu dengan membeli musik original di iTunes atau platform resmi lainnya.