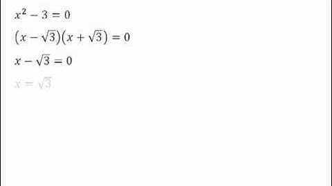
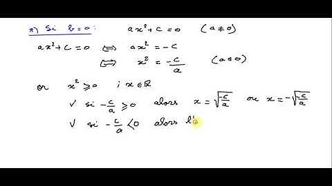
EXERCICE : Résoudre une équation du second degré (cas particuliers) - Première

Tonton & Download Video Musik Gratis

⬇ DOWNLOAD NOW
Kalau muncul iklan pop-up, tutup lalu klik tombol kembali

Download lagu EXERCICE : Résoudre une équation du second degré (cas particuliers) - Première secara gratis hanya untuk keperluan promosi. Dukung artis favorit kamu dengan membeli musik original di iTunes atau platform resmi lainnya.