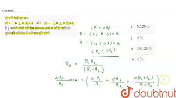
The values of two resistors are \( R_{1}=(6 \pm 0.3) \mathrm{k} \Omega \) and \( R_{2}=(10 \pm 0...

Tonton & Download Video Musik Gratis

⬇ DOWNLOAD NOW
Kalau muncul iklan pop-up, tutup lalu klik tombol kembali

Download lagu The values of two resistors are \( R_{1}=(6 \pm 0.3) \mathrm{k} \Omega \) and \( R_{2}=(10 \pm 0... secara gratis hanya untuk keperluan promosi. Dukung artis favorit kamu dengan membeli musik original di iTunes atau platform resmi lainnya.