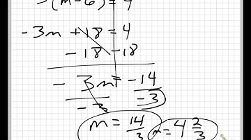
WCCA2015 Pre-Algebra Lesson 7.3 - Multi-step Equations with Decimals and Fractions

Tonton & Download Video Musik Gratis

⬇ DOWNLOAD NOW
Kalau muncul iklan pop-up, tutup lalu klik tombol kembali

Download lagu WCCA2015 Pre-Algebra Lesson 7.3 - Multi-step Equations with Decimals and Fractions secara gratis hanya untuk keperluan promosi. Dukung artis favorit kamu dengan membeli musik original di iTunes atau platform resmi lainnya.