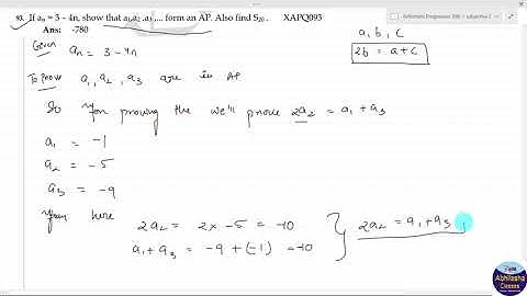
23 If an = 3 – 4n, then show that a1, a2, a3, … from an A P Also find S20

Tonton & Download Video Musik Gratis

⬇ DOWNLOAD NOW
Kalau muncul iklan pop-up, tutup lalu klik tombol kembali

Download lagu 23 If an = 3 – 4n, then show that a1, a2, a3, … from an A P Also find S20 secara gratis hanya untuk keperluan promosi. Dukung artis favorit kamu dengan membeli musik original di iTunes atau platform resmi lainnya.