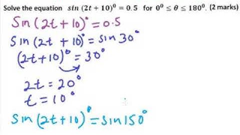
2012 KCSE MATHEMATICS PAPER 2 QUESTION 5 ON TRIGONOMETRY

Tonton & Download Video Musik Gratis

⬇ DOWNLOAD NOW
Kalau muncul iklan pop-up, tutup lalu klik tombol kembali

Download lagu 2012 KCSE MATHEMATICS PAPER 2 QUESTION 5 ON TRIGONOMETRY secara gratis hanya untuk keperluan promosi. Dukung artis favorit kamu dengan membeli musik original di iTunes atau platform resmi lainnya.