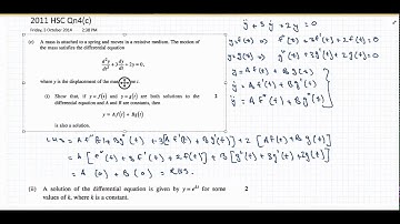
How to answer Q8 c) ii) of the 2011 HSC Mathematics Extension 2 exam

Tonton & Download Video Musik Gratis

⬇ DOWNLOAD NOW
Kalau muncul iklan pop-up, tutup lalu klik tombol kembali

Download lagu How to answer Q8 c) ii) of the 2011 HSC Mathematics Extension 2 exam secara gratis hanya untuk keperluan promosi. Dukung artis favorit kamu dengan membeli musik original di iTunes atau platform resmi lainnya.