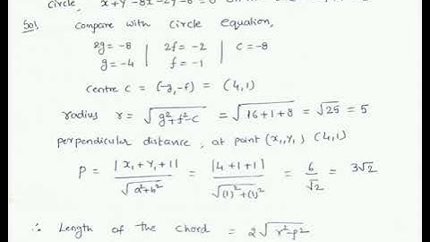
Find the Length of Chord x + y + 1 = 0 of the Circle x² + y² – 8x – 2y – 8 = 0 | Circles | Inter 2nd

Tonton & Download Video Musik Gratis

⬇ DOWNLOAD NOW
Kalau muncul iklan pop-up, tutup lalu klik tombol kembali

Download lagu Find the Length of Chord x + y + 1 = 0 of the Circle x² + y² – 8x – 2y – 8 = 0 | Circles | Inter 2nd secara gratis hanya untuk keperluan promosi. Dukung artis favorit kamu dengan membeli musik original di iTunes atau platform resmi lainnya.