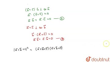
If ā,b,c are three vectors such that ` |veca |= 5, |vecb| = 12 and | vecc|=13` and `veca+ve

Tonton & Download Video Musik Gratis

⬇ DOWNLOAD NOW
Kalau muncul iklan pop-up, tutup lalu klik tombol kembali

Download lagu If ā,b,c are three vectors such that ` |veca |= 5, |vecb| = 12 and | vecc|=13` and `veca+ve secara gratis hanya untuk keperluan promosi. Dukung artis favorit kamu dengan membeli musik original di iTunes atau platform resmi lainnya.