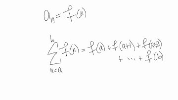
02.09.2011 - Algebra 2 & Trig - Sums in Sigma Notation

Tonton & Download Video Musik Gratis

⬇ DOWNLOAD NOW
Kalau muncul iklan pop-up, tutup lalu klik tombol kembali

Download lagu 02.09.2011 - Algebra 2 & Trig - Sums in Sigma Notation secara gratis hanya untuk keperluan promosi. Dukung artis favorit kamu dengan membeli musik original di iTunes atau platform resmi lainnya.