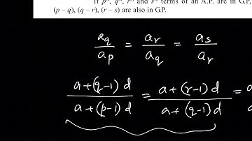
If the AM between pth and qth terms of an AP is equals AM between rth and sth term, then p+q=r+s

Tonton & Download Video Musik Gratis

⬇ DOWNLOAD NOW
Kalau muncul iklan pop-up, tutup lalu klik tombol kembali

Download lagu If the AM between pth and qth terms of an AP is equals AM between rth and sth term, then p+q=r+s secara gratis hanya untuk keperluan promosi. Dukung artis favorit kamu dengan membeli musik original di iTunes atau platform resmi lainnya.