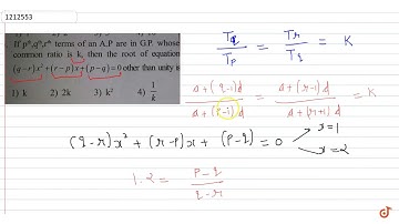
If pth, qth and rth terms of an A.P. are in G.P., then the common ratio of this G.P. is

Tonton & Download Video Musik Gratis

⬇ DOWNLOAD NOW
Kalau muncul iklan pop-up, tutup lalu klik tombol kembali

Download lagu If pth, qth and rth terms of an A.P. are in G.P., then the common ratio of this G.P. is secara gratis hanya untuk keperluan promosi. Dukung artis favorit kamu dengan membeli musik original di iTunes atau platform resmi lainnya.