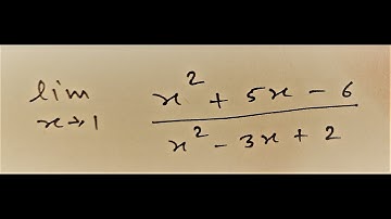
Limit for B.Com 3rd Year & 5th Semester Students C.U, Advance Business Mathematics by S.N Dey

Tonton & Download Video Musik Gratis

⬇ DOWNLOAD NOW
Kalau muncul iklan pop-up, tutup lalu klik tombol kembali

Download lagu Limit for B.Com 3rd Year & 5th Semester Students C.U, Advance Business Mathematics by S.N Dey secara gratis hanya untuk keperluan promosi. Dukung artis favorit kamu dengan membeli musik original di iTunes atau platform resmi lainnya.