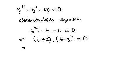
For what values of does the function satisfy the differential equation y'' + y' - 6y = 0?

Tonton & Download Video Musik Gratis

⬇ DOWNLOAD NOW
Kalau muncul iklan pop-up, tutup lalu klik tombol kembali

Download lagu For what values of does the function satisfy the differential equation y'' + y' - 6y = 0? secara gratis hanya untuk keperluan promosi. Dukung artis favorit kamu dengan membeli musik original di iTunes atau platform resmi lainnya.