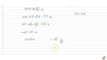
If `vec(p)` is a unit vector and ` ( vec (x) - vec(p)). (vec(x)+vec(p)) = 8 ` , then find

Tonton & Download Video Musik Gratis

⬇ DOWNLOAD NOW
Kalau muncul iklan pop-up, tutup lalu klik tombol kembali

Download lagu If `vec(p)` is a unit vector and ` ( vec (x) - vec(p)). (vec(x)+vec(p)) = 8 ` , then find secara gratis hanya untuk keperluan promosi. Dukung artis favorit kamu dengan membeli musik original di iTunes atau platform resmi lainnya.