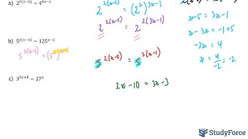
Exponential Equations Without Logarithms #2 | Solve by Matching Bases

Tonton & Download Video Musik Gratis

⬇ DOWNLOAD NOW
Kalau muncul iklan pop-up, tutup lalu klik tombol kembali

Download lagu Exponential Equations Without Logarithms #2 | Solve by Matching Bases secara gratis hanya untuk keperluan promosi. Dukung artis favorit kamu dengan membeli musik original di iTunes atau platform resmi lainnya.