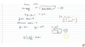
If a be the A.M of two numbers b and c and G1,G2 are the two G.Ms between them then prove that...

Tonton & Download Video Musik Gratis

⬇ DOWNLOAD NOW
Kalau muncul iklan pop-up, tutup lalu klik tombol kembali

Download lagu If a be the A.M of two numbers b and c and G1,G2 are the two G.Ms between them then prove that... secara gratis hanya untuk keperluan promosi. Dukung artis favorit kamu dengan membeli musik original di iTunes atau platform resmi lainnya.