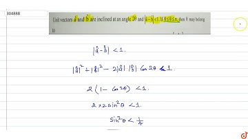
If hata,hatb and hatc are three unit vectors inclined to each other at an angle theta. The maxim...

Tonton & Download Video Musik Gratis

⬇ DOWNLOAD NOW
Kalau muncul iklan pop-up, tutup lalu klik tombol kembali

Download lagu If hata,hatb and hatc are three unit vectors inclined to each other at an angle theta. The maxim... secara gratis hanya untuk keperluan promosi. Dukung artis favorit kamu dengan membeli musik original di iTunes atau platform resmi lainnya.