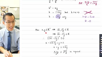
Prove the AM-GM Inequality (a1 + a2 + ... + an)/n ≥ (a1a2...an)^1/n Second Proof

Tonton & Download Video Musik Gratis

⬇ DOWNLOAD NOW
Kalau muncul iklan pop-up, tutup lalu klik tombol kembali

Download lagu Prove the AM-GM Inequality (a1 + a2 + ... + an)/n ≥ (a1a2...an)^1/n Second Proof secara gratis hanya untuk keperluan promosi. Dukung artis favorit kamu dengan membeli musik original di iTunes atau platform resmi lainnya.