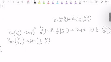
Método Simplex. Ejercicio 03. 31/08/2023 Cómo hacer una tabla usando matrices

Tonton & Download Video Musik Gratis

⬇ DOWNLOAD NOW
Kalau muncul iklan pop-up, tutup lalu klik tombol kembali

Download lagu Método Simplex. Ejercicio 03. 31/08/2023 Cómo hacer una tabla usando matrices secara gratis hanya untuk keperluan promosi. Dukung artis favorit kamu dengan membeli musik original di iTunes atau platform resmi lainnya.