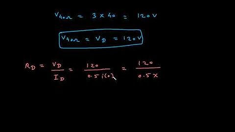
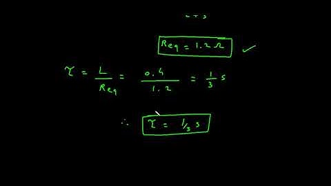
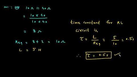
Source free RL circuit 2 | Electrical and Electronics Engineering | Electrical Engineering

Tonton & Download Video Musik Gratis

⬇ DOWNLOAD NOW
Kalau muncul iklan pop-up, tutup lalu klik tombol kembali

Download lagu Source free RL circuit 2 | Electrical and Electronics Engineering | Electrical Engineering secara gratis hanya untuk keperluan promosi. Dukung artis favorit kamu dengan membeli musik original di iTunes atau platform resmi lainnya.