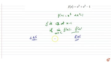
Discuss the continuity of the function f given by f (x) = x3 + x2 – 1.

Tonton & Download Video Musik Gratis

⬇ DOWNLOAD NOW
Kalau muncul iklan pop-up, tutup lalu klik tombol kembali

Download lagu Discuss the continuity of the function f given by f (x) = x3 + x2 – 1. secara gratis hanya untuk keperluan promosi. Dukung artis favorit kamu dengan membeli musik original di iTunes atau platform resmi lainnya.