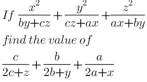
x^2:by+cz=y^2:cz+ax=z^2:ax+by=1, prove that a/a+x+b/b+y+c/c+z=1

Tonton & Download Video Musik Gratis

⬇ DOWNLOAD NOW
Kalau muncul iklan pop-up, tutup lalu klik tombol kembali

Download lagu x^2:by+cz=y^2:cz+ax=z^2:ax+by=1, prove that a/a+x+b/b+y+c/c+z=1 secara gratis hanya untuk keperluan promosi. Dukung artis favorit kamu dengan membeli musik original di iTunes atau platform resmi lainnya.