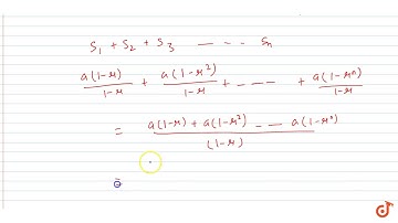
if `S_n` denotes the sum of `n` terms of a G.P whose first term is a and common ratio is r then...

Tonton & Download Video Musik Gratis

⬇ DOWNLOAD NOW
Kalau muncul iklan pop-up, tutup lalu klik tombol kembali

Download lagu if `S_n` denotes the sum of `n` terms of a G.P whose first term is a and common ratio is r then... secara gratis hanya untuk keperluan promosi. Dukung artis favorit kamu dengan membeli musik original di iTunes atau platform resmi lainnya.