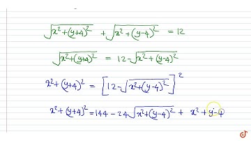
If A and B are two fixed points and P is a variable point that PA + PB = 4, the locus of P is....

Tonton & Download Video Musik Gratis

⬇ DOWNLOAD NOW
Kalau muncul iklan pop-up, tutup lalu klik tombol kembali

Download lagu If A and B are two fixed points and P is a variable point that PA + PB = 4, the locus of P is.... secara gratis hanya untuk keperluan promosi. Dukung artis favorit kamu dengan membeli musik original di iTunes atau platform resmi lainnya.