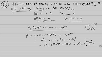
If the first and nth term of a gp are a and b | ex 9.3 class 11 | Ch-9 Sequence and Series Class 11

Tonton & Download Video Musik Gratis

⬇ DOWNLOAD NOW
Kalau muncul iklan pop-up, tutup lalu klik tombol kembali

Download lagu If the first and nth term of a gp are a and b | ex 9.3 class 11 | Ch-9 Sequence and Series Class 11 secara gratis hanya untuk keperluan promosi. Dukung artis favorit kamu dengan membeli musik original di iTunes atau platform resmi lainnya.