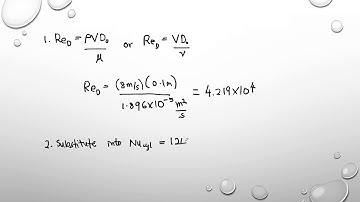
How to Calculate Heat Loss from an Uninsulated Steam Pipe | Mechanical PE Exam Problem Solution

Tonton & Download Video Musik Gratis

⬇ DOWNLOAD NOW
Kalau muncul iklan pop-up, tutup lalu klik tombol kembali

Download lagu How to Calculate Heat Loss from an Uninsulated Steam Pipe | Mechanical PE Exam Problem Solution secara gratis hanya untuk keperluan promosi. Dukung artis favorit kamu dengan membeli musik original di iTunes atau platform resmi lainnya.