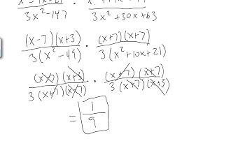
6.1 Rational Functions and Multiplying and Dividing Rational Expressions (1033)

Tonton & Download Video Musik Gratis

⬇ DOWNLOAD NOW
Kalau muncul iklan pop-up, tutup lalu klik tombol kembali

Download lagu 6.1 Rational Functions and Multiplying and Dividing Rational Expressions (1033) secara gratis hanya untuk keperluan promosi. Dukung artis favorit kamu dengan membeli musik original di iTunes atau platform resmi lainnya.