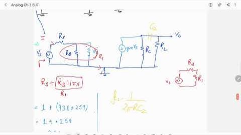
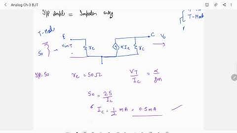
GATE 2014|PREVIOUS YEAR/ANALOG CIRCUIT\ ECE|EE|IN|PYQ|SOLUTION/CONCEPT THROUGH QUESTION\BJT ANALYSIS

Tonton & Download Video Musik Gratis

⬇ DOWNLOAD NOW
Kalau muncul iklan pop-up, tutup lalu klik tombol kembali

Download lagu GATE 2014|PREVIOUS YEAR/ANALOG CIRCUIT\ ECE|EE|IN|PYQ|SOLUTION/CONCEPT THROUGH QUESTION\BJT ANALYSIS secara gratis hanya untuk keperluan promosi. Dukung artis favorit kamu dengan membeli musik original di iTunes atau platform resmi lainnya.