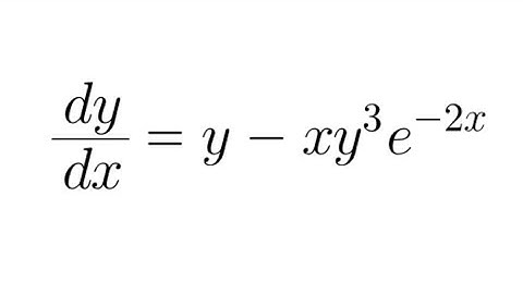
Calculus Help: Bernoulli's Differential Equations - y' =y-xy^3 e^(-2x) - Techniques

Tonton & Download Video Musik Gratis

⬇ DOWNLOAD NOW
Kalau muncul iklan pop-up, tutup lalu klik tombol kembali

Download lagu Calculus Help: Bernoulli's Differential Equations - y' =y-xy^3 e^(-2x) - Techniques secara gratis hanya untuk keperluan promosi. Dukung artis favorit kamu dengan membeli musik original di iTunes atau platform resmi lainnya.