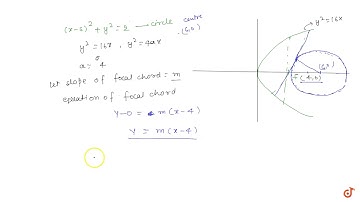
The focal chord of y^2=16 x is tangent to (x-6)^2+y^2=2. Then the possible value of the square of...

Tonton & Download Video Musik Gratis

⬇ DOWNLOAD NOW
Kalau muncul iklan pop-up, tutup lalu klik tombol kembali

Download lagu The focal chord of y^2=16 x is tangent to (x-6)^2+y^2=2. Then the possible value of the square of... secara gratis hanya untuk keperluan promosi. Dukung artis favorit kamu dengan membeli musik original di iTunes atau platform resmi lainnya.