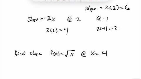
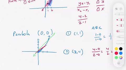
AP Precalculus Section 3.8 Example: Slope of the Terminal Ray if Given the Angle (Tangent)

Tonton & Download Video Musik Gratis

⬇ DOWNLOAD NOW
Kalau muncul iklan pop-up, tutup lalu klik tombol kembali

Download lagu AP Precalculus Section 3.8 Example: Slope of the Terminal Ray if Given the Angle (Tangent) secara gratis hanya untuk keperluan promosi. Dukung artis favorit kamu dengan membeli musik original di iTunes atau platform resmi lainnya.