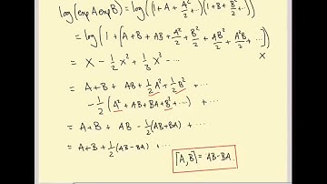
Lecture 14: Properties of simply connected Lie groups, proof of the Baker-Campbell-Hausdorff...

Tonton & Download Video Musik Gratis

⬇ DOWNLOAD NOW
Kalau muncul iklan pop-up, tutup lalu klik tombol kembali

Download lagu Lecture 14: Properties of simply connected Lie groups, proof of the Baker-Campbell-Hausdorff... secara gratis hanya untuk keperluan promosi. Dukung artis favorit kamu dengan membeli musik original di iTunes atau platform resmi lainnya.