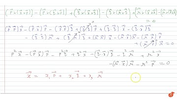
Let p ⃗,q ⃗,r ⃗ be three mutually perpendicular vectors of the same magnitude. If a vector x ⃗ satis

Tonton & Download Video Musik Gratis

⬇ DOWNLOAD NOW
Kalau muncul iklan pop-up, tutup lalu klik tombol kembali

Download lagu Let p ⃗,q ⃗,r ⃗ be three mutually perpendicular vectors of the same magnitude. If a vector x ⃗ satis secara gratis hanya untuk keperluan promosi. Dukung artis favorit kamu dengan membeli musik original di iTunes atau platform resmi lainnya.