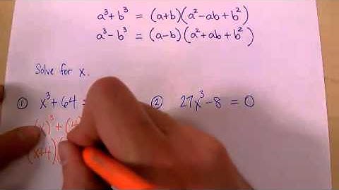
Derive Formulas: Factoring a Sum or Difference of Cubes (Long Division)

Tonton & Download Video Musik Gratis

⬇ DOWNLOAD NOW
Kalau muncul iklan pop-up, tutup lalu klik tombol kembali

Download lagu Derive Formulas: Factoring a Sum or Difference of Cubes (Long Division) secara gratis hanya untuk keperluan promosi. Dukung artis favorit kamu dengan membeli musik original di iTunes atau platform resmi lainnya.