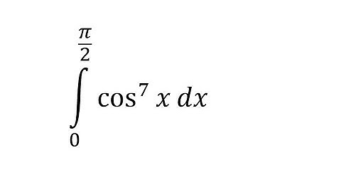
Integral of cos^7(x) dx (ILIEKMATHPHYSICS)

Tonton & Download Video Musik Gratis

⬇ DOWNLOAD NOW
Kalau muncul iklan pop-up, tutup lalu klik tombol kembali

Download lagu Integral of cos^7(x) dx (ILIEKMATHPHYSICS) secara gratis hanya untuk keperluan promosi. Dukung artis favorit kamu dengan membeli musik original di iTunes atau platform resmi lainnya.