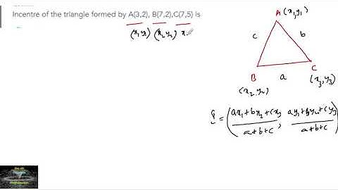
If O is the Orthocentre of the triangle formed by A(1,-3), B(7,2), C(2,5) then the distance between

Tonton & Download Video Musik Gratis

⬇ DOWNLOAD NOW
Kalau muncul iklan pop-up, tutup lalu klik tombol kembali

Download lagu If O is the Orthocentre of the triangle formed by A(1,-3), B(7,2), C(2,5) then the distance between secara gratis hanya untuk keperluan promosi. Dukung artis favorit kamu dengan membeli musik original di iTunes atau platform resmi lainnya.