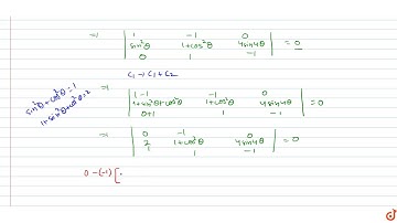
The values of θ lying between θ=0 and θ=π / 2 and satisfying the equation |[ 1+sin ^2θ ...

Tonton & Download Video Musik Gratis

⬇ DOWNLOAD NOW
Kalau muncul iklan pop-up, tutup lalu klik tombol kembali

Download lagu The values of θ lying between θ=0 and θ=π / 2 and satisfying the equation |[ 1+sin ^2θ ... secara gratis hanya untuk keperluan promosi. Dukung artis favorit kamu dengan membeli musik original di iTunes atau platform resmi lainnya.