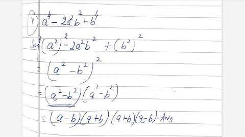
Q4 | Ex-13.2 | Class 8th | Factorisation | Chapter- 13 | Mathematics #RJMathonlineclasses

Tonton & Download Video Musik Gratis

⬇ DOWNLOAD NOW
Kalau muncul iklan pop-up, tutup lalu klik tombol kembali

Download lagu Q4 | Ex-13.2 | Class 8th | Factorisation | Chapter- 13 | Mathematics #RJMathonlineclasses secara gratis hanya untuk keperluan promosi. Dukung artis favorit kamu dengan membeli musik original di iTunes atau platform resmi lainnya.