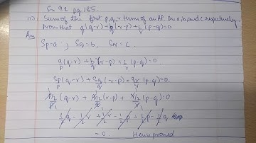
If p, q and r in A.P. then prove that :- (p+2q-r)(2q+r-p)(r+p-q) = 4pqr.

Tonton & Download Video Musik Gratis

⬇ DOWNLOAD NOW
Kalau muncul iklan pop-up, tutup lalu klik tombol kembali

Download lagu If p, q and r in A.P. then prove that :- (p+2q-r)(2q+r-p)(r+p-q) = 4pqr. secara gratis hanya untuk keperluan promosi. Dukung artis favorit kamu dengan membeli musik original di iTunes atau platform resmi lainnya.