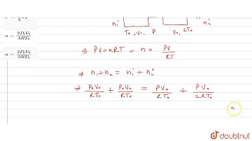
Two identical containers joined by a small pipe initially contain the same gas at pressure p_0 an...

Tonton & Download Video Musik Gratis

⬇ DOWNLOAD NOW
Kalau muncul iklan pop-up, tutup lalu klik tombol kembali

Download lagu Two identical containers joined by a small pipe initially contain the same gas at pressure p_0 an... secara gratis hanya untuk keperluan promosi. Dukung artis favorit kamu dengan membeli musik original di iTunes atau platform resmi lainnya.