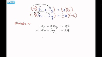
Foundations of Math and Pre-Calculus 10 Chapter 9.2 - Solving by Elimination

Tonton & Download Video Musik Gratis

⬇ DOWNLOAD NOW
Kalau muncul iklan pop-up, tutup lalu klik tombol kembali

Download lagu Foundations of Math and Pre-Calculus 10 Chapter 9.2 - Solving by Elimination secara gratis hanya untuk keperluan promosi. Dukung artis favorit kamu dengan membeli musik original di iTunes atau platform resmi lainnya.